т
ТЕЗАУРУС -
автоматизированный словарь, отображающий семантические отношения между лексическими единицами дескрипторного информационно-поискового языка и предназначенный дла поиска слов по их смысловому содержанию.ТЕОРЕТИКО-МНОЖЕСТВЕННЫЕ МОДЕЛИ -
математические модели в виде, например, абстрактно-алгебраического описания, согласно которому система представляется в виде совокупности соотношений, определяемых на декартовом произведении множеств:SP={N,V(N),Q,V,V*,V**,P(N)}, где N и V(N) - соответственно множества элементов и внутренних связей; Q - множество операторов сопряжения элементов; V,V*,V** - соответственно множества активных, пассивных и нейтральных контактов; P(N) - множество параметров системы. Разновидностью Т.-м.м. являются категорийно-функторные модели. Основной идеей теории категорий является выражение понятия структуры отношения принадлежности элемент множеству через термины связей этого множества с другими множствами. Множественное описание применимо к широкому классу систем, т.е. представляет собой почти универсальную модель. Однако
, при сложной многоуровневой структуре системы число элементов самой модели становится весьма большим, ненаглядным, трудно воспринимаемым и анализируемым. Трудности преодолевают путем упрощения модели за счет более узкого, конкретного представления объекта. Методом наглядной визуализации структуры систем является представление ее в виде графа. (См.: Множеств теория). [8]ТЕОРИЯ ПОЛЕЗНОСТИ -
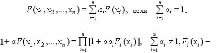
математическая теория, предметом которой является представление отношений предпочтения численными критериями. Предложена Дж. фон Нейманом и 0. Моргентерном. На основе Т.п. разрабатываются вероятностные аксиоматические методы принятия многокритериальных решений. Полезность способность события, предмета или состояния дел удовлетворять желаниям человека. Численную меру полезности найти сложно. Как правило, пользуются двумя обобщенными оценками: стоимость ресурсов и выгода, достигаемая при данном исходе (метод "затраты-прибыль", сходный с методом отыскания точек Парето-оптилума). Большинство теорий полезности, будучи лишенным всех математических интерпретаций, сводится к абстрактным теориям двоичных отношений. Их интересы, однако, должны вытекать из предпочтений и решений ЛПР. Определение же функции полезности в общем виде сопряжено с большими трудностями. Первым упрощением является признание линейности и аддитивности функции полезности, т.е. Fi(хi)=F1(х1)+F2(х2)+...+Fn(хn). В Т.п. установлены требования, которым должны удовлетворять отношения предпочтения, для того, чтобы существовала аддитивная функция полезности. В частности, для всех пар вариантов {хi,хj} при i№j; I,j=1,n, независимых по предпочтительности и по полезности, справедливо утверждение


ТЕХНИКА УПРАВЛЕНИЯ -
совокупность организационных, распорядительных, экономических, технических и методических мероприятий, обеспечивающих реализацию методологии, организации управления и технологии управления тем или иным объектом. Организационные мероприятия предусматривают комплекс мер по координации деятельности разработчиков и пользователей системы управления, увязанных по ресурсам и срокам. Распорядительные мероприятия закрепляют необходимость и порядок создания системы соответствующими постановлениями, распоряжениями, приказами и указаниями. Экономические мероприятия определяют порядок финансирования создания системы с учетом срока ее окупаемости. Технические мероприятия предусматривают комплекс мер по оснащению разработчиков и пользователей системы необходимыми техническими средствами, в том числе средствами автоматизированной обработки информации мероприятия методического характера направлены на обеспечение разработчиков и пользователей необходимой методической документацией, регламентирующей правила их взаимодействия.ТЕХНИКО-ЭКОНОМИЧЕСКИЙ РАСЧЕТ (ТЭР) -
разрабатывается для обоснования хозяйственной необходимости и экономической целесообразности проектирования и строительства предприятий, зданий и сооружений, по которым не составляют технико-экономическое обоснование (ТЭО). Состав и содержание ТЭР могут быть сокращены по сравнению с составом и содержанием ТЭО, в зависимости от специфики предприятий, зданий и сооружений, а также от полноты имеющихся по ним исходных данных по аналогичным объектам. Расчетная стоимость строительства, предусмотренная в утвержденном ТЭР, учитывается при составлении планов капитального строительства и не должна быть превышена в дальнейшем при проектировании и строительстве предприятий, зданий и сооружений. При определении расчетной стоимости строительства следует учитывать динамику цен на материально-технические и трудовые ресурсы. В тех случаях, когда намечаемая площадка (трасса) имеет специфические условия строительства (гидрогеологические, сейсмические, топографические и др.), которые могут значительно повлиять на расчетную стоимость строительства, выбор и согласование площадки производятся в таком же порядке, что и при разработке ТЭО. В остальных случаях площадка (трасса) намечается с проведением при необходимости минимального объема инженерных изысканий в целях Определения возможности использования этой площадки для строительства данного предприятия, зданий, сооружения. Разработка ТЭР должна начинаться за 2-4 года до начала строительства в зависимости от сроков проектирования и строительства, установленных для данного предприятия, здания, сооружения. ТЭР по стройкам, намечаемым к строительству на собственные средства предприятий и организаций, выполняются за счет этих средств собственными силами данного предприятия, организации или на договорных началах и утверждаются их руководителями. ТЭР по стройкам, намечаемым к строительству за счет бюджетных ассигнований, разрабатываются за счет этих средств и утверждаются в установленном порядке.[5]ТЕХНИКО-ЭКОНОМИЧЕСКОЕ ОБОСНОВАНИЕ (ТЭО) -
предплановый и предпроектный документ. Разработка ТЭО осуществляется для обоснования нового строительства, а также расширения реконструкции действующего предприятия. Разработка ТЭО, как правило, начинается за два-три года до начала стройтельства. Д предприятий и сооружений с длительными сроками проектирован разработка ТЭО может начинаться за четыре-пять лет до начала строительства. На первом этапе разработки ТЭО определяются район и пункт размещения предприятия. В дальнейшем производится выбор площадки (трассы) для строительства. При этом должны быть соблюдены земельный, лесной, водный и другие законодательства, связанные с охраной окружающей среды, а также с учетом районной планировки городов и поселков страны, схем радвития соответствующих коммуникаций и сетей. В ТЭО содержатся обоснования намечаемого строительства предприятия в части его мощности, номенклатуры и качества продукции, кооперации производства, обеспечения сырьем, материалами, полуфабрикатами, топливом, электрической и тепловой энергией, водой, трудовыми ресурсами, а также выбора наиболее эффективных технических решений по строительству и эксплуатации. В ТЭО должны быть определены расчетная стоимость строительства и основные технико-экономические показатели предприятия. При разработке ТЭО необходимо: учитывать перспективы развития.науки и техники и предусматривать при строительстве и эксплуатации предприятий новейшие достижения науки и техники и передовой отечественный и зарубежный опыт; обеспечить высокую эффективность капитальных вложений с минимальными объемами СМР на основе вариантной проработки ТЭО. При разработке ТЭО следует исходить из того, что расчетная стоимость строительства, согласованная с подрядной организацией, предусмотренная в утвержденном ТЭО, является лимитом на весь период проектирования и строительства. ТЭО желательно разрабатывать на конкурсной основе. Предварительная разработка ТЭО является обязательным условием тендера (подрядных торгов). [5]ТЕХНИЧЕСКОЕ ЗАДАНИЕ -
исходное описание (начальная концепция) проектируемого объекта, содержащее сведения о его назначении, требования к выходным параметрам (показателям проекта), условия изготовления, возведения, ввода в действие и эксплуатации, ограничения по потребляемым ресурсам, а также исходные данные, отражающие результаты изысканий и предпроектных исследований.ТЕХНОЛОГИЧЕСКАЯ КАРТА (ТК) -
организационно-технологический документ, отражающий рациональные решения по организации и технологии производства работ, способствующие повышению производительности труда, улучшению качества и снижению себестоимости СМР. Т.к. разрабатывают на сложные виды работ и работы, выполняемые новыми методами, а также на типовые, многократно повторяющиеся производственные процессы. В ТК отражают: область ее применения; организацию и методы труда рабочих (в том числе, состав бригад); организацию и технологию производства строительных процессов (в том числе, условия и особенности производства работ, способы механизации, графические схемы организации работ, применяемые приспособления, машины и механизмы), технико-экономические показатели процесса. ТК индексируются и нумеруются для автоматизации их поиска и могут сводиться в комплексы для обеспечения комплексных строительных процессов. ТК - составная часть проекта производства работ (ППР), они разрабатываются проектными и проектно-технологическими организациями по заданиям строительных министерств и регламентируют технологию выполнения сложных видов работ. Состав и содержание ее регламентирован СНиП "Организация строительного производства".ТЕХНОЛОГИЧЕСКАЯ ЛИНИЯ АВТОМАТИЗИРОВАННОГО ПРОЕКТИРОВАНИЯ -
кооперация специализированных структурных подразделений организации проектной, выполняющих оперативную разработку проектно-сметной документации конкретных объектов строительства. В состав специализированных структурных подразделений включаются проектирующие и обеспечивающие подразделения. Использование Т.л.а.п. позволяет осуществить переход к машинным (индустриальным) методам проектирования объектов строительства с применением новейших средств вычислительной организационной техники и САПР.ТЕХНОЛОГИЧЕСКИЙ ПРОЦЕСС -
последовательность технологических операций, необходимых для выполнения определенного вида работ. В строительстве оперируют такими понятиями, как строительно-монтажные работы. (земляные, каменные, бетонные, железобетонные, кровельные, малярные, штукатурные, монтаж строительных конструкций и т.д.), которые состоят из различных технологически связанных процессов. Т.п. состоят из рабочих операций Например, строповка, подъем, установка, отцепка и т.д. Рабочие операции складываются из рабочих движений (приемов).ТЕХНОЛОГИЧЕСКОЕ ПРОЕКТИРОВАНИЕ -
совокупность проектных процедур, направленных на получение описаний технологии изготовления и возведения строительной части объекта, т.е. на определение состава и последовательностей выполнения технологических процессов, типов и режимов работы технологического оборудования, вспомогательных сооружений. В строительстве Т.п. выполняется при разработке проектов производства работ (ППР) для готовой рабочей документации сооружений. Такое положение является неудовлетворительным при проектировании строительных объектов как сложных системотехнических комплексов, так как технологические решения должны рассматриваться совместно с конструктивными на самых ранних стадиях проектирования сооружения, что определяет эффективность конечного результата строительства в целом. [8]ТЕХНОЛОГИЧНОСТЬ
- совокупность технических свойств объемно-конструктивных решений строительных объектов, характеризующим их соответствие требованиям технологии строительного производства и эксплуатации; комплексная характеристика технологичности четырех подсистем - изготовления, Транспортирования, Возведения (монтажа) конструкций и эксплуатации здания. К показателям, определяющим уровень Т., относятся: разнотипность, разновесность, масса, разрезка, конфигурация и др. Эти показатели могут быть выражены аналитически через стоимость, материалоемкость, трудоемкость, продолжительность возведения здания или сооружения и др. количественные абсолютные и относительные характеристики. Качественные показатели Т. - лучше, хуже, удобнее и т.п. определяют экспертными методами. [7]ТЕХНОЛОГИЧНОСТЬ МОНТАЖНАЯ -
характеристика технологичности подсистемы монтажа конструкций при определенных ограничениях со стороны других подсистем. [7]ТЕХНОЛОГИЧНОСТЬ СТРОИТЕЛЬНАЯ -
комплексная характеристика технологичности трех подсистем: изготовления, транспортирования, возведения конструкций строительного объекта при определенных ограничениях со стороны подсистемы эксплуатации здания. [7]ТЕХНОЛОГИЯ УПРАВЛЕНИЯ -
научно-обоснованный процесс формирования решений управленческих, совокупность операций, процедур и управленческих задач, образующих определенную последовательность итеративных циклов обработки управленческой иформации. Т.у. обеспечивает: непрерывность процесса формирования планов; разработку управленческих решений в необходимые сроки и их взаимную увязку; комплексное применение методов управления; этапность процесса выработки управленческих решений на всех уровнях управления инвестиционным процессом; увязку всех разделов плана, стадий и этапов управления; соответствие системы плановых показателей с системой хозрасчетных отношений в строительном производстве; интенсификацию процесса управления путем формализации и алгоритмизации управленческих задач, что обеспечивает автоматизацию их решения; установление целевой ориентации процесса управления; сокращение времени разработки управленческих решений; упорядочение информационного обеспечения процесса управления. Т.у. устанавливает: последовательность различных стадий и этапов управления; возможность и необходимость параллельного выполнения различных управленческих работ; временные границы выполнения управленческих работ; порядок поступления, хранения и преобразования управленческой информации; процедуры планирования: утверждение, согласование, информирование и т.д. Т.у. обеспечивает многовариантную разработку управленческих решений. Для реализации этой и др. задач наиболее эффективной является компьютерная технология обработки информации, циркулирующей в системе управления, которая основывается на применении современных компьютеров и средств связи. (См.: Управление). [5]ТЕХНОПОЛИС -
крупное территориальное образование, созданное для обеспечения решения научно-технических проблем, с развитой производственной и социальной структурами и включающее в себя комплекс многопрофильных академических и научно-исследовательских учреждений с сетью опытных заводов, конструкторских центров и т.п.ТИПИЗАЦИЯ -
технико-экономически обоснованное сведение многообразия типов, создаваемых систем и их элементов к небольшому числу. [7]ТИПОВОЕ ПРОЕКТНОЕ РЕШЕНИЕ (ТПР) -
проектное решение, отобранное в результате предыдущего опытапроектирования и многократного внедрения проектов с целью применения (полного повторения или привязки) в проектировании определенного класса задач и систем. [7]ТОЧНОСТЬ ПОИСКА -
показатель качества документальной инфорлационно-поисковой системы, определяемый отношением количества выделенных релевантных документов по всему количеству выданных системой документов.ТРАСТ -
1) доверенность на ведение операций в хозяйственной и др. сферах деятельности. В банковском деле "траст-операции" осуществляются, как правило, коммерческими банками. Прежде всего это операции с ценными бумагами, которые банк осуществляет с согласия и по Т. (договоренности) своих клиентов; 2) объединение, фонд. Различают следующие виды таких Т.: деловой Т. - форма коммерческого предприятия с ограниченной ответственностью; публичный Т. образуется из пожертвований частных лиц на благотворительные цели. [2]ТРАНЗАКЦИЯ ж. -
последовательность логически связанных действий, переводящих информационную систему из одного состояния в другое; транзакция либо должна завершиться полностью, либо система должна быть возвращена в исходное состояние.ТРЕСТ -
форма объединения предприятий, при которой они теряют свою хозяйственную и юридическую самостоятельность и действуют по единому плану. Характеризуется наиболее высокой степенью централизации управления, а также значительной диверсификацией деятельности. [2]